9587 - 挑战 NPC Ⅱ
诸由杨是一名咸鱼大学生,虽然他每天仍然幻想着在多项式时间内解决 NPC 问题。
诸由杨上课的时候了解到子图同构问题是一个 NPC 问题。他打算给出一个子图同构问题的多项式判定算法,间接地去证明 P = NP,这样他一定可以凭借这个伟大的工作荣获图灵奖!只可惜诸由杨才疏学浅,连子图同构问题属于 NPC 的证明都没有想出来。因而他退而求其次,准备判定一个更加简单的问题:
给定两棵有根树 G, H。设 \lvert G \rvert 代表树 G 中的节点个数,则这两棵树满足如下限制:1 \leq \lvert H \rvert \leq \lvert G \rvert \leq \lvert H \rvert + k。这里诸由杨保证 k 是一个小常数。
诸由杨可以删除 G 中的若干个节点,假定删除节点后后得到的子图为 G'。他想要知道是否存在一种删除节点的方式,使得删除后得到的子图 G' 满足如下条件:
- G' 连通。
- G' 包含 G 中的根节点(也就是说 G 根节点在删除过程中没有被删除)。
- G' 和 H 同构(也就是说存在一种让 G' 中点重标号的方式,使得重标号得到的图和 H 完全相同,且 G 中的根节点经过重标号后恰好为 H 的根节点)。
输入
本题有多组测试数据。
输入的第一行依次包含两个正整数 C,T 和一个非负整数 k,三个数字分别表示当前测试点编号,测试数据组数和题目中给定的常数。如果当前测试数据为样例则 C = 0。保证 T \leq 500、k \leq 5。
对于每一组测试数据:
输入的第一行包含一个正整数 n_1,表示树 G 中的节点个数,保证 1 \leq n_1 \leq {10}^5,且 \sum n_1 \leq 5 \times {10}^5。
输入的第二行包含 n_1 个整数,描述了树 G 的结构。具体地,第 i(1 \leq i \leq n_1)个整数 a_i 表示在树 G 中节点 i 的父节点,如果其为根节点则 a_i = -1。保证按照上述规则得到的树为连通有根树。
输入的第三行包含一个正整数 n_2,表示 H 中的节点个数,保证对于所有测试数据,满足 \max(1, n_1 - k) \leq n_2 \leq n_1。
输入的第四行包含 n_2 个整数,描述了树 H 的结构。具体地,第 i(1 \leq i \leq n_2)个整数 b_i 表示在树 H 中节点 i 的父节点,如果其为根节点则 b_i = -1。保证按照上述规则得到的树为连通有根树。
输出
对于每一组测试数据:
输出一行一个字符串。如果存在删除 G 中节点的方式,使得其能够同时满足上述三个条件,则输出 Yes;否则输出 No。
样例
输入
0 3 1 3 2 -1 2 2 -1 1 4 3 3 -1 3 3 2 3 -1 5 -1 1 5 5 1 5 2 3 -1 3 2
输出
Yes No Yes
提示
【样例解释 #1】
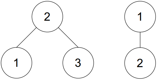
对于第一个测试点,我们删除第一棵树的 1 号节点。此时剩余的树和输入第二棵树均为包含两个节点的有根树,因而输出为 Yes。

对于第二个测试点,输入第一颗树深度为 1,但是输入第二颗树深度为 2。因而不论如何删除第一颗树的节点不会导致其树高增加到 2,因而输出为 No。

对于第三个测试点,其输入两颗树均同构于下图的树,因而因而输出为 Yes。

来源
NOI