7305 - 古老典籍(ancient)
时间限制 : 3 秒
内存限制 : 1024 MB
在浩瀚的星空之下,有一座古老的智慧神殿,殿中藏有一棵名为“真理之树”的圣物。这棵树共有n个节点,编号为1~n,其中节点1为根,每个节点都记载着一卷古老的典籍。
传说中,只有按照某种特定的从根节点1开始的深度优先搜索(DFS)顺序阅读学习这些典籍,才能领悟其中的终极智慧。然而,守护神殿的贤者们留下了一条禁忌规则:对于给定的q对典籍(a,b),在阅读顺序中,节点\mathbit{a}的典籍必须出现在节点\mathbit{b}典籍之前。
现在,你作为新一代的贤者继承者,需要计算:在遵守所有禁忌规则的前提下,一共有多少种不同的阅读顺序?
由于答案可能非常巨大,你需要输出它对{10}^9+7取模的结果。
输入
从文件ancient.in中读入数据。本题包含多组测试数据。
输入的第一行t,表示测试数据的组数。
对于每组测试数据内:
输入的第一行包含三个正整数 n,q,分别表示树的节点数,以及规则的数量。
接下来n行,其中第i行的第一个数字c_i表示节点i的儿子数量,接下来c_i个数字,分别为节点i的儿子编号。
接下来q行,每行两个整数a,b。表示典籍a的阅读顺序必须出现在典籍b之前。
输出
输出到文件ancient.out中。
输出t行,每行一个数字,表示符合规则的阅读顺序方案数,对{10}^9+7取模。
样例
输入
2 6 1 3 2 3 4 2 5 6 0 0 0 0 2 3 6 2 3 2 3 4 2 5 6 0 0 0 0 2 3 3 5
输出
6 0
提示
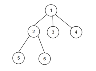
样例包含两组测试数据,两组测试数据的树都如下图:

其中第一组测试数据要求节点2的典籍必须出现在典籍3之前。有6种满足条件的DFS顺序:
1,2,5,6,3,4
1,2,6,5,3,4
1,2,5,6,4,3
1,2,6,5,4,3
1,4,2,5,6,3
1,4,2,6,5,3
其中第二组测试数据相比第一组测试数据增加一条限制,为节点3的典籍必须出现在典籍5之前。上面6种DFS顺序均不能使得3在5之前,满足条件的DFS顺序数为0。

来源
青少年编程挑战赛