7292 - 树的价值
给定一棵 n 个结点的有根树,其中结点 1 为根,结点 i (2 \le i \le n) 的父亲结点为结点 p_i。
对于 1 \le i \le n,定义结点 i 的深度 d_i 为结点 1 到结点 i 的简单路径的边数,也就是说,d_1 = 0,$di = d{pi} + 1 (2 \le i \le n$)。定义有根树的高度 h 为所有结点的深度的最大值,即 $h = \max{i=1}^{n} d_i$。
给定高度的上界 m。在本题中,给定的有根树的高度不超过 m。
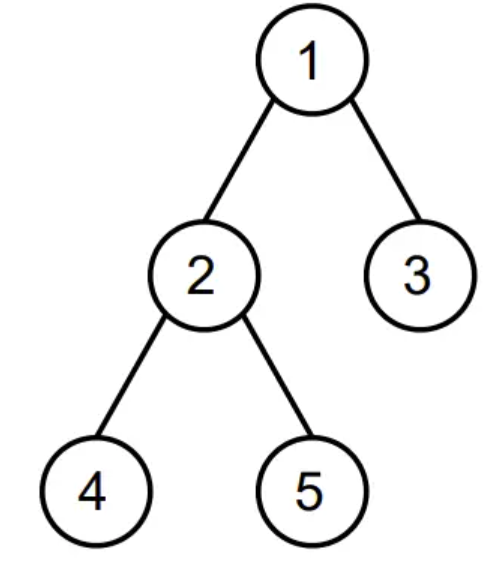
你需要给每个结点设置一个非负整数作为它的权值。对于 1 \le i \le n,若结点 i 的权值为 a_i,令 $Si 表示结点 i$ 的子树中结点权值构成的集合。对于每一种权值设置方案,定义树的价值为 $\sum{i=1}^{n} \mathrm{mex}(S_i),其中 \mathrm{mex}(S)$ 表示不在集合 S 中的最小非负整数。例如,在下图中,若设置 a_1 = 3,a_2 = 2,a_3 = a_4 = 0,a_5 = 1,则 S_1 = {0,1,2,3},S_2 = {0,1,2},S_3 = {0},S_4 = {0},S_5 = {1},树的价值为 4 + 3 + 1 + 1 + 0 = 9。
:::align{center}
:::
你需要求出,在所有权值设置方案中,树的价值的最大值。
输入
本题包含多组测试数据。
输入的第一行包含一个正整数 t,表示测试数据组数。
接下来依次输入每组测试数据,对于每组测试数据:
- 第一行包含两个正整数 n, m,分别表示结点数量与高度的上界。
- 第二行包含 n - 1 个正整数 p_2, p_3, \ldots, p_n,分别表示每个结点的父亲结点。
输出
对于每组测试数据,输出一行一个非负整数,表示树的价值的最大值。
样例
输入
2 5 2 1 1 2 2 7 2 1 1 2 2 2 3
输出
9 13
提示
【样例 1 解释】
该样例共包含两组测试数据。
对于第一组测试数据,可以设置 a_1 = 3,a_2 = 2,a_3 = a_4 = 0,a_5 = 1,则树的价值为 4 + 3 + 1 + 1 + 0 = 9。
对于第二组测试数据,可以设置 a_1 = 4,a_2 = 3,a_4 = 2,a_3 = a_6 = 1,a_5 = a_7 = 0,则树的价值为 5 + 4 + 2 + 0 + 1 + 0 + 1 = 13。
对于所有测试数据,均有:
- 1 \le t \le 5;
- 2 \le n \le 8,000,1 \le m \le \min(n - 1, 800);
- 对于所有 2 \le i \le n,均有 1 \le p_i \le i - 1;
- 给定的有根树的高度不超过 m。
::cute-table{tuack}
| 测试点编号 | n \le | m \le |
|---|---|---|
| 1,2 | 7 | n-1 |
| 3,4 | 13 | ^ |
| 5,6 | 18 | ^ |
| 7,8 | 40 | ^ |
| 9,10 | 120 | ^ |
| 11,12 | 360 | ^ |
| 13,14 | 4{,}000 | 2 |
| 15\sim 17 | ^ | 10 |
| 18,19 | ^ | 50 |
| 20\sim 25 | 8{,}000 | 800 |
来源
NOIP