202511207 - DFS序
时间限制 : 2 秒
内存限制 : 128 MB
给定一棵1为根的编号为1~n树,需要进行DFS
并且要求q对点,其DFS顺序点A必须在点B之前,求有多少种满足的DFS序
输入
输入第一行两个数字n,q
接着n行,第i行第一个数字c表示节点i的儿子数量,接着c个数字,为节点i的儿子的编号
最后q行,每行2个数字a,b
输出
输出仅一个数字,表示满足条件的DFS方案数
样例
输入
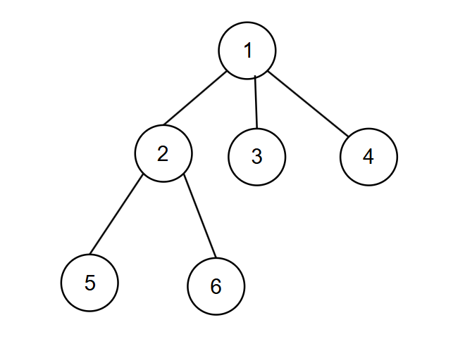
6 1 3 2 3 4 2 5 6 0 0 0 0 2 3
输出
6
输入
6 2 3 2 3 4 2 5 6 0 0 0 0 2 3 3 5
输出
0
提示
n,q \leq 10^5 , 0 \leq c \leq 10
$$

DFS有6种
1,2,5,6,3,4
1,2,6,5,3,4
1,2,5,6,4,3
1,2,6,5,4,3
1,4,2,5,6,3
1,4,2,6,5,3